Portfolio

RNA World — Codon Bias & Amino Acid Symmetry

A simulation framework in R to generate synthetic RNA sequences across five nucleotide profiles and explore codon redundancy, nucleotide biases, melting temperatures and amino acid distributions ( Aberdeen University, Scotland ).
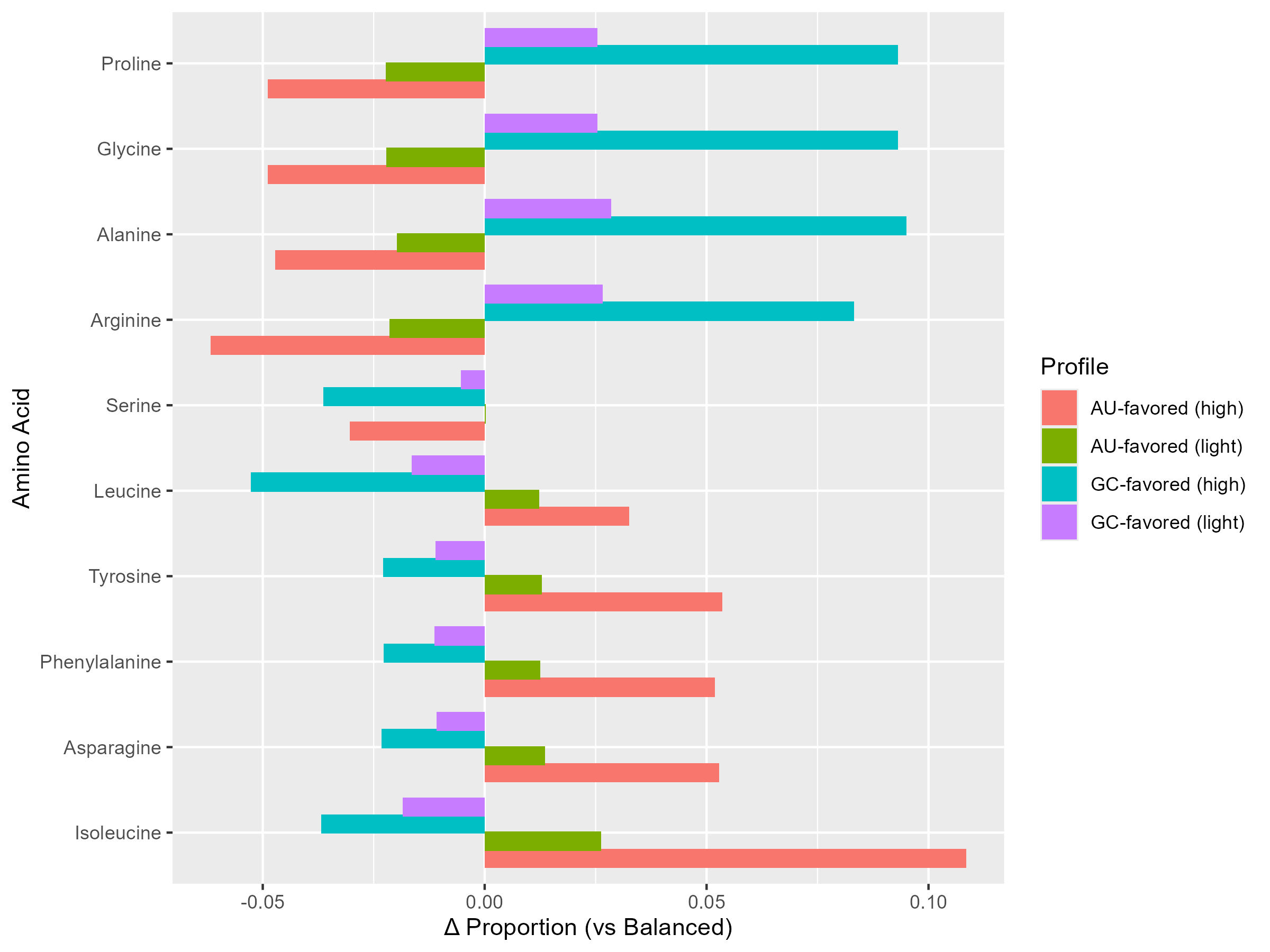
Most highly deviated amino acids from the balanced codon usage profile, illustrating shifts in amino acid frequencies under AT- and GC-biased scenarios.

Island Biogeography — Biodiversity Patterns in French Polynesia

First curated biogeographic dataset and master thesis for marine and terrestrial animal species across 119 islands and atolls of French Polynesia, with bias quantification and multi-scale biodiversity analyses ( Ifremer Pacific Center, Tahiti ).
Taxonomic bias assessment. Major class representation in sampling effort (i.e., observed - ideal). Over- and under-representation of each class are illustrated by the green and orange bars respectively. An inverse hyperbolic-sine transformation was used for the x-axis.

PhD proposal - ADR models & Biogeography

Mechanistic Advection-Diffusion-Reaction (ADR) modelling of multi-vertebrate responses to oceanic structures (fronts, eddies, currents) in the South-West Indian Ocean and their connectivity implications under climate change – PhD thesis proposal for PEPR BRIDGES.

PhD proposal - Ecological Geometry

Applying geometric and topological concepts to model complex species interactions and uncover hidden patterns in ecological networks – PhD research proposal for QUT Mathematical Sciences.